-
[컴퓨터 비전] Min-Max, Histogram Equlization, Z-score / 이미지 향상 기법(Contrast Enhancement Method) + Power law Transformation정리Computer Vision 2024. 4. 13. 11:42반응형
Contrast Enhancement
어떻게 하면 이미지를 향상시킬 수 있을까?
1. Min-Max

Min-Max * L-1은 output의 maximum intensity이다. (8비트에서는 255)
가장 작은 min 값과 가장 큰 max 값을 찾아서 일정 범위 내로 맞춰준다.
장점 : 간단하다.
단점 : Noise 등에 취약하다.
2. Histogram-equalization
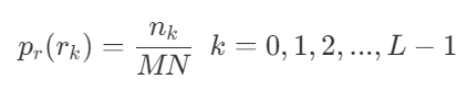
Histogram

Histogram MN은 총 픽셀 수이다.
$n_k$는 $r_k$의 intensity를 가지는 픽셀 수이다.
히스토그램의 형식으로 표현된다.
Histogram Equalization
histogram linearization transformation이라고도 불린다.

Histogram Equalization 그래프를 그렸을 때 누적 분포처럼 나타나며, 이 분포를 linear하게 바꿔준다고 직관적으로 이해해볼 수 있다.
장점 : 대체적으로 괜찮다.
단점 : 밤 사진에 취약하다.
3. z-score standardization
z-transformation이라고도 부른다.

z-score standardization 분산과 편차를 이용하여, 각 강도(intensity)가 떨어져 있는 정도를 바탕으로 constast enhancement를 진행한다.
* 추가적으로 (contrast Enhancement에 속하는지는 모르겠지만 * 댓글로 알려주세요 *)
Power law Transformation

(개인적으로 영상 및 사진을 편집할 때 많이 봤던 기억이 난다. 색감 조정을 할 때 직선을 위 또는 아래로 움직여 곡선으로 만들면 해당 색상이 강화되거나 약화되면서 색감 조정이 가능하다.)

Power law Transformation (Chat GPT4 제작) 반응형'Computer Vision' 카테고리의 다른 글
[컴퓨터 비전] 이미지에서의 푸리에 변환 (Fourier Transform), 푸리에 변환의 의미 (0) 2024.04.13 [컴퓨터 비전] 가장자리를 추출하는 방법 - Sobel, Laplacian Filter / Sharpning Spatial Filter (0) 2024.04.13 [컴퓨터 비전] 노이즈(Noise)를 없애는 기법 - 평균, 가우시안, 중앙값 / Average Filter, Gaussian Filter, Median Filter (0) 2024.04.13 [컴퓨터 비전] 합성곱(Convolution), 공간 필터(Spatial Filtering) (0) 2024.04.13 [컴퓨터 비전] 디지털 이미지 기본 개념 정리 (0) 2024.04.13